Impulse generation by an open shock tube

Problem Description

We performed numerical studies of a shock tube with an open end to investigate the impulse due to the exhaust of gases through the open end of the tube as a model for a partially-filled detonation tube as used in pulse detonation engine testing. The simulaion model is shown in the following. The driver section was filled with pressurized gas (helium or nitrogen) and the driven section was open to the atmosphere. The initial conditions in the driven section matched those of the room, nominally 22 C and Pa = 99 kPa. In the driver section, the initial temperature was also room temperature, but the initial pressure was varied from P0 = 929 kPa (P0/Pa = 9.38) to P0 = 198 KPa (P0/Pa = 2.0). The length of the driver section, L0 = 101.6 mm, the total tube legth L = 0-1.84 m, the tube diameter d0 = 39.5 mm. The fill fraction, \alpha, is defined as \alpha=L0/L. The effects of the pressure ratio and the fill fraction were examined.

Computational model

Numerical Simulation

  • Two dimensional (planar), inviscid, non-reactive Euler equations with the perfect gas equation of state.
  • Two constant polytropic exponents, \gamma_1 and \gamma_2 representing gases in both driver and driven sections.
  • Explicit second order Godunov-type numerical scheme incorporating a hybrid Roe-solver-based method.
  • AMR-computation with coarse resolution of 0.9875 mm; two additional refinement levels, with a refinement factor 2 and 4 respectively.

Results

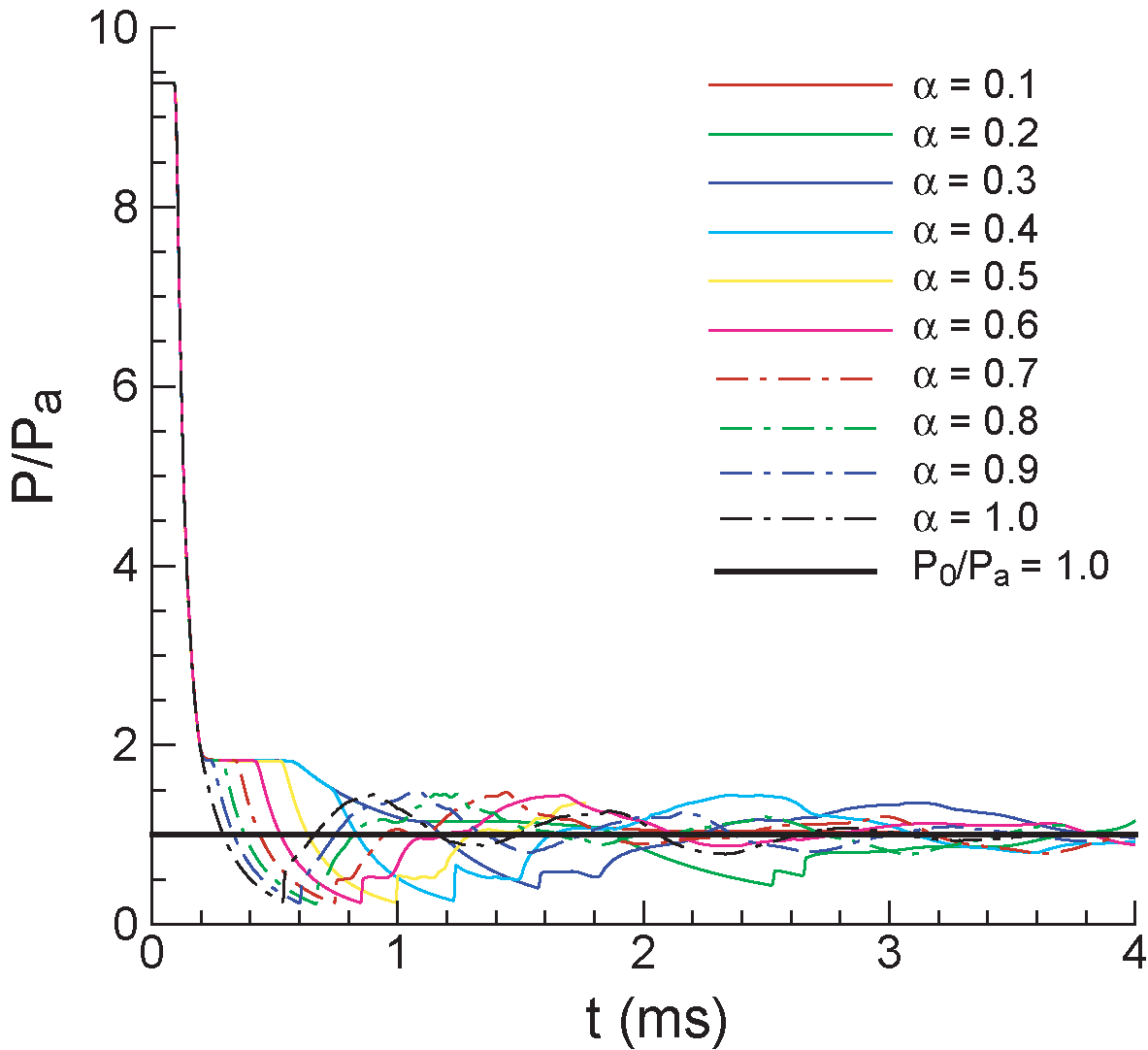
  • Average pressure on the thrust wall

Pressure vs. time for P0/Pa =9.38, Helium/Air.

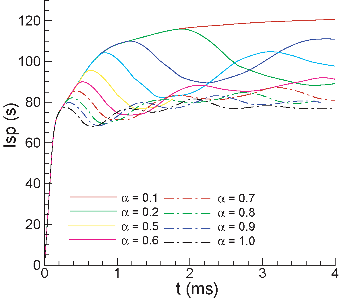
  • Impusle on the thrust wall

The specific impulse was computed by

I_{sp}=\int_{0}^{t_{final}}\frac{(P(t)-P_a)} {\rho_0 L_0 g} dt

where t_{final} is the final time reached in the simulation, P(t) is the average pressure on the thrust wall, P_a is the ambient pressure, \rho_0 and L_0 are the gas density and the tube length of the driver section respectively.

Impulse vs. time for P0/Pa =9.38, Helium/Air.

  • Comparison of specific impulse given by experiments, simulations and theories.

Impulse vs. filling ratio for P0/Pa =9.38, Helium/Air.

  • Reference: J. Kasahara, Z.~Liang, S.T. Browne and J.E. Shepherd, 2006, Impulse Generation by an Open Shock Tube, subimitted to J. AIAA. PDF version of this paper

Attachment sort Action Size Date Who Comment
model_shock.gif manage 12.6 K 22 Aug 2006 - 15:40 ZheLiang Simulation Model
Pre_t_ff_He_P9.gif manage 18.3 K 22 Aug 2006 - 20:59 ZheLiang average pressure on the thrust wall
Isp_t_ff_He_P9.gif manage 18.5 K 22 Aug 2006 - 21:00 ZheLiang Impulse
P_ff1.0_He.mpg manage 133.4 K 22 Aug 2006 - 21:31 ZheLiang Pressure field
compare_He_P9.gif manage 13.3 K 25 Aug 2006 - 23:08 ZheLiang comparison
shocktube.pdf manage 854.5 K 25 Aug 2006 - 23:22 ZheLiang Paper

Copyright © 1997-2025 California Institute of Technology.